样本是从总体中抽出的部分单位集合,这个集合的大小叫做样本量。
一般而言,样本的容量大的话,样本的误差就小,反之则大。
通常样本单位数大于30的样本可以称为大样本,小于30的样本则称为小样本。在实际应用中,我们应该根据调查的目的认真考虑样本量的大小。
样本容量的大小涉及调研中包括的单元数。从定性的方面考虑样本量,因素有:决策的重要性,调研的性质,变数个数,数据分析的性质,同类研究中所用的样本量,发生率,完成率,资源限制等。决策越重要,需要更多和更准确的信息,就需要用较大的样本;探索性研究,样本量一般较小,结论性研究则需要较大的样本;收集有关许多变数的数据,样本量就要大一些,减少抽样误差的积累效应;如果需要采用多元统计方法对数据进行复杂的高级分析,样本量就应当较大;如果需要特别详细的分析,如做许多分类等,也需要大样本。针对子样本分析时,需要的样本量比对总样本分析要大许多。
样本量的确定有相应的统计学公式,具体取决于
1. 研究对象的变化程度
2. 精确度要求(即允许误差的大小)
3. 推断的置信程度
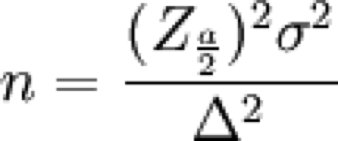
公式:
已知总体方差,重复抽样时,至少应抽取的样本量为n。(给定极限误差和概率误差)

已知总体方差,不重复抽样时,至少应抽取的样本量为n。
其中,Z为概率度,N为样本总数,α为极限误差。
