答:取相邻的连续三个点A,B,C
设 AB=S1 BC=S2 每两个打点的时间为t
S1=V0+1/2at²
S1+S2=V0+1/2a(2t)²
则S2-S1=at²
加速度 a=(s2-s1)/t²
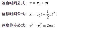
【解析】匀变速直线运动,速度均匀变化的直线运动,即加速度不变的直线运动。其速度时间图像是一条倾斜的直线,表示在任意相等的时间内速度的变化量都相同,即速度(v)的变化量与对应时间(t)的变化量之比保持不变(加速度不变),这样的运动是变速运动中最简单的运动形式,叫做匀变速直线运动。

【基本公式】

其中a为加速度,V0为初速度, V为末速度,t为该过程所用时间,x为该过程中的位移。
